Isolated column footing is one of the most common and economical types of shallow foundations used in building construction across India. It is simple in design, easy to construct, and cost-effective for medium-load structures. This guide will explain everything about Isolated Column Footing Design โ its purpose, working principle, design procedure, IS code provisions, construction methods, and key checks.
The article is written in simple English for easy understanding by civil engineering students, site engineers, and professionals. It includes tables, FAQs, and examples, all aligned with Indian construction standards and practices.
What Is an Isolated Column Footing?
An Isolated Column Footing, also known as a pad footing or spread footing, is a reinforced concrete base provided below a single column. It distributes the column load evenly to the soil beneath.
When a column carries load, it transfers it through the footing to the ground. If the load acts directly through the center of the footing, the pressure under the footing remains uniform. However, when the load is eccentric or the soil is uneven, pressure distribution becomes non-uniform.
Isolated footings are most suitable for buildings where:
- The columns are spaced far apart.
- Loads are moderate.
- The soil has good bearing capacity (generally >150 kN/mยฒ).
They are widely used in residential buildings, commercial complexes, and industrial structures in India.
Why Isolated Footings Are Popular in India
In India, most low- and mid-rise structures are built on soils with medium bearing capacity. Isolated footings are favored because:
- They are economical and easy to construct.
- They need less reinforcement and less excavation compared to combined or raft footings.
- They can be designed easily using IS 456:2000 and IS 1904:1986.
- Local contractors and masons are familiar with this method, making execution simpler.
However, isolated footings are not suitable for weak soils, where bearing capacity is low or differential settlement is likely.
Relevant IS Codes for Isolated Footing Design
| IS Code | Title | Purpose |
|---|---|---|
| IS 456:2000 | Plain and Reinforced Concrete | Structural design of RCC footing |
| IS 1904:1986 | Design and Construction of Foundations in Soils | Guidelines for foundation depth, soil pressure, and settlement |
| IS 3370:2009 | Concrete Structures for Storage of Liquids | Used when footings are part of water-retaining structures |
| IS 1786:2008 | High Strength Deformed Steel Bars | Guidelines for reinforcement steel |
| SP 34 | Handbook on Reinforcement Detailing | Recommended detailing practices |
Inputs Required for Isolated Footing Design
Before designing an isolated footing, engineers must collect accurate data.
| Parameter | Description |
|---|---|
| Column load (Pu) | Factored axial load from structural analysis |
| Column size | Cross-sectional dimensions of the column |
| Soil bearing capacity (SBC) | From geotechnical investigation |
| Concrete grade | Typically M25, M30, or M35 |
| Steel grade | Usually Fe 500 or Fe 550 |
| Water table level | To check for uplift pressure or buoyancy |
| Exposure conditions | To determine cover requirements |
Step-by-Step Design Procedure of Isolated Column Footing
Step 1: Determine Footing Area
The required area of footing (A) is calculated using

Where:

So, a 2m ร 2m footing can be adopted.
Step 2: Select Footing Depth
The depth (D) depends on bending and shear requirements.
For most small buildings, footing thickness varies from 300 mm to 600 mm.
Minimum cover = 50 mm (for direct contact with soil).
The footing thickness should satisfy:
- One-way shear check
- Punching shear check
- Minimum structural depth for bending
Step 3: Check Pressure Distribution
If the column load acts concentrically, pressure is uniform.
If the load is eccentric, pressure distribution becomes trapezoidal.
Eccentricity (e) = Moment / Load.
For safe design:

If the eccentricity is larger, partial uplift may occur, requiring footing redesign or enlargement.
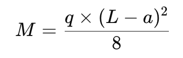
Step 4: Bending Moment Calculation
The maximum bending moment occurs at the face of the column.
For a square footing,

Where:
- q = Soil pressure (kN/mยฒ)
- L = Footing length (m)
- a = Column width (m)
Step 5: Shear Checks

(b) Two-Way (Punching) Shear
Critical section lies at 0.5d from column face all around.
Check punching shear

If not satisfied, increase footing thickness or provide shear reinforcement.
Step 6: Reinforcement Design
Calculate required steel area (Ast)

Typical reinforcement:
- 12 mm to 20 mm diameter bars
- Spacing: 100 mm โ 200 mm center to center
- Main bars placed at bottom (tension zone)
Provide equal reinforcement in both directions for square footings.
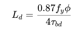
Step 7: Check for Development Length and Anchorage
Ensure that the bars have adequate anchorage length (Ld) beyond the critical section.

where:
- ฯ = Bar diameter
- ฯbd = Design bond stress
If not sufficient, hooks or bends must be provided.
Example: Isolated Footing Design (Conceptual)
| Input | Value |
|---|---|
| Column load (Pu) | 900 kN |
| SBC of soil | 225 kN/mยฒ |
| Column size | 300 mm ร 300 mm |
| Concrete grade | M25 |
| Steel | Fe 500 |
Step 1:
Required area = 900 / 225 = 4.0 mยฒ โ Use 2.0m ร 2.0m footing
Step 2:
Assume thickness = 500 mm
Step 3:
Check bending, one-way shear, and punching shear
Step 4:
Design reinforcement โ Provide 12 mm bars @ 150 mm c/c both ways
๐งฉ Reinforcement Detailing Guidelines
- Provide main reinforcement at the bottom of footing in both directions.
- Provide minimum 0.12% steel of the gross concrete area.
- Maintain 50 mm clear cover from soil surface.
- Extend column reinforcement into the footing with proper lap length.
- Place reinforcement on cover blocks to ensure uniform spacing.
โ๏ธ Construction Process of Isolated Footing
- Excavation: Excavate to required depth as per design.
- PCC Bed: Lay a 100 mm thick plain cement concrete (M10) layer for leveling.
- Formwork: Place shuttering for footing dimensions.
- Reinforcement: Fix rebar cage and dowels.
- Concreting: Pour concrete (M25 or higher). Compact properly using a vibrator.
- Curing: Keep the surface wet for at least 7 days.
- Backfilling: Once concrete gains strength, backfill the sides with compacted soil.
โ๏ธ Advantages of Isolated Footings
| Advantages | Description |
|---|---|
| Economical | Requires less concrete and reinforcement |
| Simple Design | Easy to analyze and construct |
| Less Excavation | Ideal for medium bearing capacity soils |
| Flexibility | Suitable for different column spacing |
| Easy Maintenance | Simple to inspect and repair if required |
โ ๏ธ Limitations of Isolated Footings
| Disadvantages | Description |
|---|---|
| Not Suitable for Weak Soils | May lead to uneven settlement |
| Limited to Medium Loads | Not ideal for heavy structures |
| Differential Settlement | Risk when soil conditions vary across the site |
| Requires Good Drainage | To prevent water accumulation around footing |
๐ฐ Approximate Cost in India (2025)
| Material | Unit | Rate (โน) | Approx. Cost for 2m ร 2m Footing |
|---|---|---|---|
| Concrete (M25) | mยณ | 7,000 | 14,000 |
| Reinforcement | kg | 75 | 6,000 |
| Formwork | mยฒ | 350 | 1,400 |
| Labor & Misc. | – | – | 5,000 |
| Total Cost | – | – | โน26,000 โ โน30,000 per footing |
(Cost may vary by city and contractor.)
๐ง Best Practices for Isolated Footing Construction
- Always perform a geotechnical investigation before starting.
- Avoid water stagnation near footings.
- Check rebar spacing and cover before concreting.
- Cure properly to gain full strength.
- Follow IS 456:2000 for durability and safety requirements.
๐ FAQs
Q1: What is the minimum thickness of an isolated footing?
Minimum thickness is 300 mm, but typically 450โ600 mm for RCC footings.
Q2: What is the difference between isolated and combined footings?
Isolated footings support one column only, while combined footings support two or more columns with overlapping pressure zones.
Q3: Can isolated footing be used on clayey soil?
Yes, if the clay has adequate bearing capacity and low shrink-swell potential. Otherwise, use raft or pile foundation.
Q4: Which IS code is used for isolated footing design?
IS 456:2000 for RCC design and IS 1904:1986 for foundation guidelines.
Q5: What type of reinforcement is used in isolated footings?
High strength deformed (HYSD) bars, typically Fe500 grade, are used.
๐๏ธ Conclusion
Isolated column footings are the backbone of most small to medium-sized structures in India. Their design is straightforward but demands careful checks for bending, shear, and soil bearing. When designed as per IS 456 and constructed with quality control, they provide a strong, durable, and economical foundation solution.
Proper soil testing, accurate detailing, and curing ensure long-term structural stability.
For Indian engineers and students, mastering isolated footing design is an essential skill for practical construction projects.
โ
SEO Keywords Integrated:
Isolated column footing design, RCC footing design, footing calculation, footing thickness, IS 456 footing, isolated foundation, concrete footing India, soil bearing capacity, structural foundation design, civil engineering footing guide, isolated footing cost in India.
ChatGPT can make mistakes. Check important info. See Cookie Preferences.